Scale-Free Thinking January 3, 2009
Posted by Eyal Sivan in Defining the Connective, Self.Tags: barabasi, black swan, cantor, e.o. wilson, eusocial, fractal, gladwell, kelly, liebniz, long tail, mandelbrot, power law, scale-free, superorganism
trackback
In the Mandara Mountains of northern Cameroon live the Mofu, ethnic tribes whose culture is based on a reverence for social insects. Their favorite is a breed of ferocious red ant known to them as jaglavak. There are many other species too: ndroa, mananeh and ndakkol. These names all have one thing in common: they are both plural and singular. Jaklavak refers equally to one ant, a colony of ants, or all the ants in the world.
When we look at an ant colony, we see a group of individual units, but when the Mofu look at an ant colony, they see a single being. Whether you zoom in on one ant, or zoom out to see a whole colony, each of these scales presents a unique and singular entity. The ant and the colony each has its own properties, behaviours and adaptations. If this view resonates with you, then you are thinking scale-free.
Scale-Free Mathematics
Imagine a line of fixed length. Now split that line into thirds and remove the middle third, leaving you with two lines. Now split each of those into threes and remove the middles, so that you have four lines. Keep splitting each line, again and again, to infinity. Now, how long is the total set of lines and spaces? Still the same original fixed length, of course. But how many smaller lines and spaces is it made up from? Infinite lines and infinite spaces. So is this new shape of fixed length or infinite length? That is exactly the thought experiment introduced by German mathematician Georg Cantor in 1883 when he defined the Cantor set:

The unique thing about a Cantor set is its simplicity. Taking the result of a very simple process and feeding it back into itself over and over, ad infinitum, results in a highly complex shape. This process, known as recursion, creates a shape where no matter how far you zoom in, it always looks the same as where you started. At any magnification, the parts are similar to the whole. In mathematics, this property came to be called self-similarity, and it marks the dawn of formal scale-free thinking.
The period from the 1870’s to the 1920’s saw an explosion of scale-free mathematics. In 1872 came the Weierstrass function, the first to exhibit self-similar behaviour. This was followed by a flood of vivid visual examples: the Peano curve (1890), the Koch Snowflake (1904), the Levy C Curve (1906), the Sierpinski triangle (1915) and carpet (1916), the Fatou set (1917), the Julia set (1918), the Alexander horned sphere (1924), and the Menger Sponge (1926). These functions were very troubling because they seemed to defy logic. How could something be both finite and infinite simultaneously? And yet, there was the math, relatively simple math, that illustrated exactly how such a thing could exist, as if thumbing its nose at centuries of Euclidian geometry. In a 1906 essay, French mathematician Henri Poincaré provided a name for these weird, pathological functions: monsters.
These mathematical monsters had been encountered before. Two hundred years before Cantor, German polymath Gottfried Leibniz had already wrestled with the concept of scale-free thinking. In 1684, Leibniz stated, “the straight line is a curve, any part of which is similar to the whole.” Not content with limiting such ideas to mathematics, Leibniz applied his scale-free view to the whole of the natural world. In 1714, he published the somewhat eccentric Monadology (free here), which boldly embraces self-similarity as a force of nature:
“Thus the organic body of each living being is a kind of divine machine or natural automaton, which infinitely surpasses all artificial automata. For a machine made by the skill of man is not a machine in each of its parts. For instance, the tooth of a brass wheel has parts or fragments which for us are not artificial products, and which do not have the special characteristics of the machine, for they give no indication of the use for which the wheel was intended. But the machines of nature, namely, living bodies, are still machines in their smallest parts ad infinitum. It is this that constitutes the difference between nature and art, that is to say, between the divine art and ours.”
Scale-Free Nature
It would take many years before scale-free mathematics would be applied to the natural world. In the 1960’s, mathematician Benoît Mandelbrot wrote a paper entitled How Long Is the Coast of Britain?, where he proposes that a coastline is infinitely long, in much the same way a Cantor set is infinitely long: the shorter your measuring stick, the longer the coastline gets, ad infinitum. In 1975, Mandelbrot invented the term fractal to describe structures that exhibit self-similarity at any level of magnification. He acknowledges the influence of Leibniz on his work in his seminal 1983 book, The Fractral Geometry Of Nature
(preview here), which cemented his position as the father of modern scale-free thinking.
Until Mandelbrot, no-one had really seen a fractal. Sure, these recursive equations and visual thought experiments allowed one to conceive of fractals, and even to draw them to a point, but how would you draw a complete fractal? Not only would illustrating a proper fractal require millions of calculations, but you’d still have no proper way of zooming in and out. But Mandelbrot had a new secret weapon: the computer.
Using early computers, Mandelbrot analyzed the monsters and plotted the results on a screen. The images that emerged were nothing short of elegant and beautiful. Today, they are almost universally recognizable as part of pop-culture. Thanks to the advantages of screen over paper, computers also solved the magnification problem, allowing scientists and laymen alike to zoom in and out of these stunningly infinite structures with a click of a mouse. It seems a strange coincidence that Leibniz also invented binary.

The most notable and common feature among fractal images is that they are organic. The resemblance to nature is uncanny and intuitive. Seeing a Mandelbrot set (pictured above) for the first time, one thinks of a beetle, or an acorn, or a fish. In his book, Mandelbrot explains how fractal geometry can be used to explain such diverse natural phenomena as coastlines, mountains, clouds, trees and lightning. You do not have to be a mathematician to see fractals in these structures: a branch looks like a small tree and a small cloud looks like a big cloud.
One of the most exciting aspects of fractals is that they provide a mechanism to describe and in turn understand the natural world. That’s because fractals are good at describing roughness, the kind of endless scale-free roughness you find in nature, whereas prior math was good at describing smoothness, the kind you find in man-made objects. Or to use Liebniz’s terms, fractals describe the divine art while Euclid describes ours. Ironically, we needed computers to show us what a fractal really looks like before we saw the obvious truth: nature is scale-free.

Since Mandelbrot, as computers have gotten more and more powerful, fractals have been used to study any number of natural systems. Fractals exist inside us, in our heartbeats, lungs and circulatory systems, and all around us, in spiderwebs, river patterns and schools of fish. They help describe how forests grow, how eyes work, and how the brain forms thoughts. Where Euclid’s geometry had utterly failed to describe nature, fractal geometry seems to fit like a glove. Even the construction of organisms from DNA has been found to be a fractal process. Ecologist James Brown of the University of New Mexico sums it up nicely in the PBS documentary, Hunting the Hidden Dimension:
“[Fractals] are all over the place in biology. They are solutions that natural selection has come up with over and over and over and over again.”
Scale-Free Evolution
Like the Mofu tribes, E.O. Wilson loves ants. Also like the Mofu, he sees a colony of ants acting as one, behaving as a single entity. Early in his career, Wilson became fascinated with ant colonies as an example of highly-evolved social behaviour. Individual ants, after all, are highly altruistic. Many of their evolved behaviours are self-sacrificial, in that they come at a great cost to the individual but are for the good of the colony. In fact, these behaviours are critical to the ants’ evolutionary success, often at the expense of less-social competitors. Therefore, the solution must lie in the evolutionary fitness of the colony as a whole.
Wilson’s research in this area culminated with the 1990 publication of The Ants, earning him and his co-author Bert Hölldobler the Pulitzer Prize. The team paired up again for the recently published book, The Superorganism
. In the first chapter, they provide an elegant description of life as a scale-free hierarchy of biological complexity:
“Life is a self-replicating hierarchy of levels. Biology is the study of the levels that compose the hierarchy. No phenomenon at any level can be wholly characterized without incorporating other phenomena that arise at all levels. Genes prescribe proteins, proteins self-assemble into cells, cells multiply and aggregate to form organs, organs arise as parts of organisms, and organisms gather sequentially into societies, populations and ecosystems. Natural selection that targets a trait at any of these levels ripples in effect across all the others.”
This sort of scale-free thinking is not new to evolutionary theory. Even Darwin, in his 1859 epic On the Origin of Species (free here), describes social insects as a potentially fatal flaw in his theory of natural selection, due to their cooperative group behaviours. This led him to reason that selection must also occur at the group level, but he didn’t really understand how adaptations that cost the individual so much could have survived, a riddle later called the altruism problem.
Since then, several theories have been put forth to try and explain how group selection works, each theory complementing rather than contradicting the last: trophallaxis (1918) led to kin selection (1938), which led to inclusive fitness (1964), which led to gene selectionism (1966), the last of which was popularized by Richard Dawkins’ 1975 best-seller, The Selfish Gene
(preview here). Although biologists argue over how individual-level and group-level adaptations are related, they all use as their starting point a scale-free view of life:

In the September 2008 issue of American Scientist, E.O. Wilson teamed up with biologist David Sloan Wilson (no relation) for an article entitled Evolution for the Good of the Group. It provides an introduction to yet another evolutionary theory called multi-level selection (MLS), pioneered by D.S. Wilson and Professor Elliot Sober:
“These interacting layers of competition and evolution are like Russian matryoshka dolls nested one within another. At each level in the hierarchy natural selection favors a different set of adaptations. Selection between individuals within groups favors cheating behaviors, even at the expense of the group as a whole. Selection between groups within the total population favors behaviors that increase the relative fitness of the whole group – although these behaviours, too, can have negative effects at a still-larger scale. We can extend the hierarchy downward to study selection between genes within a single organism, or upward to study selection between even higher-level entities.”
While all group selection theories accept the Russian doll metaphor, the main difference with MLS is that it focuses on the target of selection (the group) rather than the vehicle (the gene). Since various behaviours and adaptations emerge at all scales, it states that all natural selection is multilevel, simultaneously. So where gene selectionists promote a zoomed-in view of evolution that focuses on the genes, MLS promotes a scale-free view of evolution, one that emphasizes the pressures of natural selection on all scales at once. The implication of MLS is that any group can be observed as a higher-order individual, and any individual can be observed as a lower-order group.
In many ways, MLS reconciles evolutionary theory with the subject of my previous post, enlightened self-interest (a term actually used in the article), by offering a biological imperative for altruistic behaviour. But when applied to human societies, MLS goes a step further: it invites us to view ourselves through the same lens, to see a group of humans as a single entity, a superorganism of sorts. According to Sober and D.S. Wilson in their 1999 book, Unto Others, this idea is not as far-fetched as it may seem:
“As strange as it may seem against the background of individualism, the concept of human groups as adaptive units may be supported not only by evolutionary theory but by the bulk of empirical information on human social groups in all cultures around the world. Perhaps our species can be added to the list of examples in which lower-level units (individuals) have significantly coalesced into functionally integrated higher-level units (groups).”
Scale-Free Society
Sociology, a field dedicated to the study of humans in groups, is currently enjoying an explosion of scale-free thinking. As we collect and crunch data that sees human groups as networks rather than masses, fractal patterns begin to appear. A lot of the more recent activity surrounds what are called scale-free networks, a term coined by Hungarian scientist Albert-László Barabási.
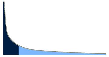
In 1999, Barabási decided to study the most interesting network of of all: the Web. By analyzing how new pages and new links are added to the Web, and comparing that data to previous research on social network behaviour, he established that the Web does not grow randomly. In fact, it grows according to a pattern called a power law distribution. Imagine a graph that shows Internet traffic listing the most popular site (i.e. Google) down to the least popular (i.e. me). Barabási showed that the number of hits decreases exponentially, resulting in a few big winners and lots and lots of relative losers. That curve is known a power law, and power laws are scale-free.

Put simply, a scale-free network is one that exhibits a power law distribution (pictured above). According to Barabási, there are two properties that distinguish scale-free networks from randomly generated networks: first, they grow and must keep growing; and second, they exhibit a property called preferential attachment. This basically means that the more popular a node is, the more likely it is that a new node will link to it, resulting in a rich-get-richer scenario. He explains his findings in his 1999 paper, Emergence of Scaling in Random Networks:
“Growth and preferential attachment are mechanisms common to a number of complex systems, including business networks, social networks (describing individuals or organizations), transportation networks, etc. Consequently, we expect that the scale-invariant state, observed in all systems for which detailed data has been available to us, is a generic property of many complex networks, its applicability reaching far beyond the quoted examples. A better description of these systems would help in understanding other complex systems as well.”
Barabási later added a third property to his model called competitive-fitness, which accounts for some new nodes being more competitive than others, resulting in a fit-get-richer scenario. However, introducing fitness can also lead to a winner-takes-all phenomenon, where one node comes to dominate all links, making the network no longer scale-free. More recent refinements from others have added concepts like decay and clustering. Such are the challenges of modern network theory, including Barabási’s own work: to refine these models so they more accurately reflect the real, scale-free world.
As with Mandelbrot & E.O. Wilson, Barabási’s concepts have deep roots. The ideas of preferential attachment and the scale-free power law date back to 1906 when Vilfredo Pareto observed that 80% of the land in Italy was owned by 20% of the people, what became the 80/20 rule. The Yule process (1925) observed the same behaviour in biological systems (foreshadowing gene-selectionism). Then Zipf’s Law (1935) said the same about vocabulary usage. Then came cumulative advantage (1965) and the Matthew effect (1968), which studied citations in scientific papers. The small-world experiment (1967), which popularized the six-degrees-of-separation idea, began the examination of social networks. This eventually led to the Watts-Strogatz or small-world network model (1998), until finally we arrive at the Barabási-Albert or scale-free network model (1999). Barabási summarizes his findings in his 2003 book, Linked (with Watts and Strogatz publishing related ideas in Six Degrees
& Sync
respectively, only a year later).
The clock does not stop there. The last decade has seen a storm of dialogue and deliberation exploring these ideas. Aside from steady progress in academia, scale-free thinking has entered the mainstream. Two recent best-sellers on economics, Chris Anderson‘s The Long Tail and Nicholas Nassim Taleb‘s The Black Swan
, both feature the power law distribution as a core element, and both emphasize its scale-free nature (Taleb even dedicates his book to Mandelbrot). Malcolm Gladwell‘s iconic book The Tipping Point
and even his recent Outliers both describe concepts that smack of preferential attachment. Ray Kurzweil‘s The Singularity Is Near
, which has spawned its own modest movement, goes so far as to describe the entire history of the universe as a single, continuous scale-free power law.
It’s worth noting that a scale-free network is not necessarily fair; actually, it’s often quite the opposite. According to Barabási’s rich-get-richer and winner-takes-all models, social networks appear to continuously widen the gap between haves and have-nots. Whereas ant colonies tend to be very altruistic, human societies seem more focused on raising the cream to the top, and yet both are scale-free. I believe that creating models which reconcile these two behaviours will be one of the main challenges in modern network theory going forward.
Scale-Free Humanity
So for all of our self-awareness and intelligence, it turns out even us humans automatically organize our tools and ourselves into scale-free networks, just like ants do. Does that mean human beings, connected through our ever-more pervasive information technologies, are together forming a global superorganism? Kevin Kelly certainly thinks so. He describes his theory in a thorough blog post entitled Evidence of a Global SuperOrganism:
“My hypothesis is this: The rapidly increasing sum of all computational devices in the world connected online, including wirelessly, forms a superorganism of computation with its own emergent behaviors… I define the One Machine as the emerging superorganism of computers. It is a megasupercomputer composed of billions of sub computers. The sub computers can compute individually on their own, and from most perspectives these units are distinct complete pieces of gear. But there is an emerging smartness in their collective that is smarter than any individual computer. We could say learning (or smartness) occurs at the level of the superorganism.”
Although this idea may initially seem very machine-centric, Kelly later states (in response to several comments) that the superorganism is not just our machines but “contains all humans online as well as all chips. So its autonomy is a hybrid.” If so, then the One Machine Kelly describes is scale-free in two dimensions: first, in size, since it is essentially a scaled-up version of highly-connected humanity; and second, in time, since it is the culmination of a single, continuous stream of scale-free evolution.
In his post, Kelly uses the idea of “smartness” to measure whether or not we qualify as a superorganism. I think E.O. Wilson would balk at this idea. Smartness, and its brethren intelligence and consciousness, are a slippery slope. We don’t even have solid definitions for these things in humans, let alone in computers, despite centuries of effort. The Brain-in-a-Vat and Chinese Room thought experiments posit that measuring such things is a fallacy. And we have no evidence at all that an organism can even be aware of its own superorganism, let alone measure it somehow. So what workable measures do we have?
Wilson formally defines a superorganism as a colony that is eusocial, or “truly social,” marked primarily by division of labor to protect reproductive castes. A true superorganism is a species that is altruistic by design, where the needs of the colony always outweigh the needs of the individual, right down to reproductive rights. According to Wilson, being a superorganism is not a function of smartness, but a function of social evolution.
Kelly aims to establish a falsifiable claim that we have formed a superorganism. I think a claim couched in smartness is a dead-end, whereas one focused on social behaviour is more practical and measurable.
Under Wilson’s eusocial lens, we can begin to measure humanity as superorganism. I don’t have the statistics, but I would wager a guess that there is a staggering amount of seemingly altruistic work done on the Web today; that is to say, work that costs more to the individual than what they gain in competitive fitness. I’m talking about all the blogs and wikis and open-source contributions for which the authors go unpaid, not to mention all the podcasts, videos, comments, ratings, and forum posts. I am not getting paid for this post, and yet I put it many hours of work. Perhaps I am unwittingly doing it for some greater good, for the good of the superorganism, not by decree but by genetic design.
Even off the Web, humanity is currently seeing a massive proliferation of altruistic effort. In his 2007 book Blessed Unrest, Paul Hawken documents the world-changing rise of activist groups over the last decade, groups numbering in the thousands (if not millions). In true scale-free style, he thinks of these efforts as a single, global social movement, and describes humanity’s combined altruistic efforts as a “collective immune response.”
Taken all together, these altruistic efforts may provide a measurable statistic for gauging how close to a superorganism we really are. But first, we must frame the question in terms of social complexity rather than grasp at amorphous definitions of consciousness. Since we cannot know how a zoomed-out, singular version of us will communicate, our observations are limited to our own scale. More importantly, an approach based on social behaviour lays bare the implications of becoming a superorganism, namely the cost to the individual, and allows us to decide if that’s really what we want to be.
Typical of Kelly’s excellent posts, this one spawned many provocative responses. One of the best came from Nova Spivack, founder of Twine, prompting Kelly to elaborate on his theory. Where Kelly’s post focuses on zooming-out to see the One Machine, Spivack’s reply raises the idea of zooming-in to re-examine the computing power of the human brain:
“The resolution of computation in the human brain is still unknown. We have several competing approximations but no final answer on this. I do think however that evidence points to computation being much more granular than we currently think.”
Spivack also raises spirituality. After boldly abbreivating the term One Machine to get the mantra OM, he provides a stirring explanation of consciouness as understood in Buddhism:
“The level to which consciousness is aware of the substrate is a way to measure the grade of consciousness taking place. We might call this dimension of consciousness, ‘resolution.’ The higher the resolution of consciousness is, the more acutely aware it is of the actual nature of phenomena, the substrate… Another dimension of consciousness that is important to consider is what we could call ‘unity’… At the highest level of the scale there is a sense of total unification of everything within one field of consciousness… The Buddhist concept of spiritual enlightenment is essentially consciousness that has evolved to BOTH the highest level of resolution and the highest level of unity.”
It seems to me that what Spivack calls resolution is the ability to zoom-in, to see everything as coming from the same ‘”substrate;” and what he calls unity is the ability to zoom-out, to see everything as part of “one field of consciousness.” At the risk of oversimplifying, the Buddhist ideal he describes seems to demand the ability to zoom-in and zoom-out simultaneously and continuously, the penultimate of scale-free thinking. If Spivack and the Buddhists are right, scale-free thinking may well lead to spiritual enlightenment.
Conclusions
When I originally sat down to write this post, I did not expect to find such a rich and diverse history behind scale-free thinking (hence the length). In fact, scale-free thinking cuts a swath across the histories of mathematics, biology, and sociology. In less formal ways, it even appears in art, culture and religion. Take for example this poem written by mathematician Augustus de Morgan in 1872 (which is actually a parody of a 1733 poem by Jonathan Swift):
“Great fleas have little fleas upon their backs to bite ’em,
And little fleas have lesser fleas, and so ad infinitum.
And the great fleas themselves, in turn, have greater fleas to go on;
While these again have greater still, and greater still, and so on.”
In the 20th century, such great thinkers as Nikola Tesla, Albert Einstein, Bertrand Russell, Karl Popper, Marshall McLuhan and many others too numerous to mention have all embraced scale-free thinking. They didn’t just imagine that we are all connected, which is possibly one of the earliest of ideas. They specifically believed that the same kinds of relationships exist at every scale. Telsa once said your body is connected to your finger in the same way as you are connected to your friend. Humanity can equally be perceived as a batch of genes, a collection of individuals, a set of groups, or as a single entity. We exist at all these scales, all at once.
The scale-free point-of-view cuts across the ethical argument of individual versus collective good, rendering it obsolete. After all, nature consistently displays both individualistic impulses and social impulses, at every scale of the biological hierarchy. Both types of behaviour are necessary for life to form and grow and evolve – there is no perfect mold, no correct answer. Any group when taken as a whole can be considered a higher-order individual, and any individual when magnified can be seen as a lower-order group. Lean too far one way and we lose our free will, too far the other way and we destroy the planet. Scale-free thinking enables us to address this dichotomy, and find a middle ground, even as that ground keep moving.
As regards the Connective Hypothesis, it may seem that both collectives and connectives are scale-free. After all, collectives are hierarchies-of-hierarchies and connectives are networks-of-networks. My icon for collectives even looks like the Sierpinski triangle. But this is not so, collectives are not scale-free. When I use the term collective, I am specifically referring to top-down bureaucratic structures or imposed hierarchies. Top-down structures cannot be truly scale-free, exactly because they have a top. It is impossible to force an emergent pattern, it must in fact emerge.
Scale-free systems must evolve from the bottom-up. From an initial set of conditions and using some simple rules, they feed back on themselves over and over and over again, spiraling outwards and upwards. The natural world is built in layers and we are built in layers, and we organize ourselves in layers. But these are not layers of command-and-control, they are layers of emergent complexity. Like life itself, truly scale-free systems cannot be designed, they must be evolved.
Ultimately, scale-free thinking lets us better understand how we relate to each other and to the natural world. Although today our scale-free distributions are not ideal, we came to them by accident rather than by design. As our understanding grows, it will enable us to create models and systems that promote equilibrium with nature and perhaps social equality as well.
When trying to build systems that work the way nature intended, you should think like the Mofu. Think scale-free.
Great condensed history of self-similarity – two perspectives to consider adding to your framework of scale free humanity might be Buckminster Fuller’s omnidirectional epistemology – see Synergetics online http://www.rwgrayprojects.com/synergetics/s10/p0000.html and AI Pioneer Ben Goertzel’s algebraic structure of the self http://www.goertzel.org/dynapsyc/2007/mirrorself.pdf
[…] side that really triggers my interest and sets me thinking. Like Eyal Sivan’s blog post on Scale Free Thinking. He gives a comprehensive overview over the different schools of thought and fields that are all […]
Thank you for the well-researched and comprehensive post, Eyal.
I wholeheartedly agree that “Ultimately, scale-free thinking lets us better understand how we relate to each other and to the natural world.”
Just wanted to add one more author on the subject: Orson Scott Card, who in his brilliant sci-fi Ender series (original “Ender’s Game” followed by a number of sequels up to the recent “Ender in Exile”) has described the world of “buggers” that had evolved as a hive society and how a lack of understanding between them and humans lead to the destruction of the species.
Hey Eyal,
The Connective Hypothesis is RIGHT ON DUDE!
Made considerable reference to your site in my post on John Battelle’s blog relating to the search for a viable model to save essentials of the newspaper business.
http://battellemedia.com/archives/004781.php
I believe Chagora is a key element of what you’re talking about. Simply opening up and EMPOWERING lines of Speech and Association.
“By drawing on existing concepts and observing parallels between them, we can determine the shape of the coming shift…” Eyal Sivan
Eyal, I believe Chagora in it’s fundamentals is part of a needed framework for this shift! And that the specific shape and implementation is important…
Which I believe may be what you’re talking about in your quote above…
If you have a chance it would be helpful to me if we could talk. I’d like to explain what I’m up to, get your feedback and have your involvement if it seems interesting to you.
Bonnie, thanks for the great links. I hadn’t heard of either of them. Fuller’s work seems especially interesting, given its 70’s publication.
m_c1, although I’m light on fiction these days, I am a big fan of Card. I have a copy of Ender’s Game that’s been read to death. Yes, he does a great job contrasting us to the buggers, the epitome of “hive mind”, and demonstrating that we are not them and never should be.
Tom, my sincerest thanks for your enthusiastic support, both here and at other sites. Comments like that keep me writing. I checked out Chagora and it seems like a pretty solid start towards a microcharity platform, but there are many other players doing this as well, so your differentiators are important. I’d be happy to discuss your strategy with you. I’ll send you an email.
Thanks for the emails and glad you’re seeing that the differentiators are fundamental and the implications.
See my comment on Kevin Kelly’s “As If” for a simplified version of how Chagora relates to political theory and “The Connective” concept.
http://www.kk.org/thetechnium/archives/2009/01/as_if.php
However the devil IS in the details regarding specifics of implementation which will have not completely predictable consequences. Which is why I’m seeking a knowledgable small group of thoughtful people for advice and assistance.
Starting to use linkedIn http://www.linkedin.com/in/culturalengineer
in addition to facebook for building network.
Tom Crowl
Quoted the Connective Hypothesis in yet another comment on Kevin Kelly’s Technium “As If” post while “connecting” that with his piece on theories about “Breakup of USA” in Current Trends section and Hillis’ piece on The Edge “A Forebrain for the World Mind” concerned with scaling group decision making.
http://www.kk.org/thetechnium/archives/2009/01/as_if.php
Hopefully doing everybody (I’ll admit it… especially me!) some good.
I continue to find much of great interest on you blog.
A couple of quotes from you that stimulate questions and associations:
“It’s worth noting that a scale-free network is not necessarily fair; actually, it’s often quite the opposite. According to Barabási’s rich-get-richer and winner-takes-all models, social networks appear to continuously widen the gap between haves and have-nots. Whereas ant colonies tend to be very altruistic, human societies seem more focused on raising the cream to the top, and yet both are scale-free. I believe that creating models which reconcile these two behaviours will be one of the main challenges in modern network theory going forward.”
I agree… Consider the implications of game theory here… specifically the Ultimatum Game! Which relates to at least one key difference between ants and humans (self-awareness)!
And how it might relate to your additional point:
“…an approach based on social behaviour lays bare the implications of becoming a superorganism, namely the cost to the individual, and allows us to decide if that’s really what we want to be.”
and
“Any group when taken as a whole can be considered a higher-order individual, and any individual when magnified can be seen as a lower-order group. Lean too far one way and we lose our free will, too far the other way and we destroy the planet.”
So the question is can a superorganism have some degree of “self-aware” identity without its components sacrificing theirs? Ultimately I believe its a balance. Since if defined by social behaviour I believe “superorganisms” have been costing individuals dearly for centuries. And the individuals often sacrifice their identities completely willingly!
Regards,
Tom Crowl
Balancing the winner-take-all vs the communal ant colony behaviours as possible network models may be best resolved as viewing the hypothecated whole as a “network-of-networks” rather than one.
In my area of interest, systems of representation… we see in the U.S. (and elsewhere else actually) a multiplicity of interrelated feedback loops related to just the sort of behaviors you allude to.
For instance, circumstances make it unfortunately natural that concentrated money in politics should (SURPRISE) tend to concentrate money!
This is a positively reinforcing feedback loop which clearly belongs to the “winner-take-all” network of behaviours and favoring the “Individual” end of the Individual/Commons tension.
Leaving aside questions of morality, unchecked feedback loops have interesting and predictable consequences. Which is that they inevitably either get checked or the system collapses.
In the particular instance discussed here an obvious solution is to find checks for these positively reinforcing loops…
By either checking such loops directly (campaign finance reform and jails) or establishing new loops acting in opposition to the “winner-take-all” behaviours.
This means empowering the interests of the commons in a way not dependent on “winner-take-all” concentrations for sustainance or, MOST importantly… direction!
This is the eternal balancing act… in living systems it’s the necessity for a continuous balance between order and chaos called “criticality”.
See: http://www.sciencenews.org/index/feature/activity/view/id/38750/title/No_gene_is_an_island
(which has a lot of interesting other points as well relating to the nature of complex/chaotic systems)
There are a number of related balancing acts here…
Which suggest no final answer… but to the extent that we want to have a say in things…
A need for constant attention to our feedback loops!
There’s an interesting abstract for a working paper called Virtual Congressional Districts at
http://p2pfoundation.ning.com/forum/topics/orgware-virtual-districts
Which has relation to these questions.
Especially, of course, all my brilliant comments there!
Dear Eyal, you composed a brilliant medley within your blog post : Scale-Free Thinking , January 3, 2009. Grand!
I have found much of great value of the topic for 4 years. Recently, I proposed a simple network-based approach for description of the right to own a firearm: http://infosha-ida.blogspot.com/
Thank you.
[…] paper, the term “scale-free” is used without definition; presumably it pre-exists. Another popular-science article connects scale-free with self-similar, and described the power-law distribution as scale-free. […]
Hey Eyal, thank you for this very interesting paper. I found it par hasard and I will send you results of using it. Cheers!
Eyal, great work !
About evolution : unless the human-computer-internet superorganism actually becomes an ecosystem of a multitude of superbrains where competition has its place, there will be only one randomly changing entity at the end.
(http://zyxo.wordpress.com/2008/10/21/the-end-of-evolution/)
Dear Eyal,
Wonderful insights! I’m glad to discover your site.
I’ve been intrigued by the the possibility of scale-free narrative forms may be an enabler of consciousness.
A few years ago, I had an “aha!” moment from an unexpected source. It came while looking at the structure of a poster that my daughter had prepared for her high school science project.
The description of her experiment — in line with her science teacher’s instructions — almost exactly mirrored a fractal-like pattern that I’d been noticing in movies, books, commercials, and other narratives.
In essence, the narrative pattern I saw in her poster was —
attention->tension->vision->strategy->test->resolution
As far as I can tell, this storyline works at almost any scale. It can be found in happiness-generating attention to the flow of moment-by-moment experience.
It is, I think, also implicit in a good conversations, in the assembly of conversations and events to make subplots, in the assembly of subplots to make a story, in the gathering of stories to create an epic, and in the combination of epics to create an overarching belief system or a religion. (In science, the narrative fractal can be described as:
attention->challenge->hypothesis->design->trials->conclusion
… but the assembly of small hypothesis and experiments on these lines similarly scales to grand theories and to revolutions in scientific paradigms).
If such a scale-independent, deep process of experience does exist, it may well explain the emergence of consciousness in evolution. Clearly, molecules that evolve to sense and care about themselves — including an ability to sense and care about patterns of response in dealing with their surroundings — gain an survival advantage on net over those who are insensitive to their fitness.
Moreover, awareness of a deep pattern of experience in their own makes a second leap much easier — an ability to extend their own neural/information processing paths to model a self-similar metaprocess in others.
A further factor in the rise of consciousness of others may be the existence of metapatterns that relate to reproductive success. Building on the insights — as I understand them — of sociobiology, evolution is the story of “selfish” genes, memes, and qualities of spirit (which I’ve been referring to as “lumines”) that interact in consilience.
Evolution has generated all kinds of living vessels for their propagation, with generative recipes/scripts regarding how to balance the survival and success of the individual with that of the (emergent) larger good.
Each particle, molecule, organelle, cell, organ, person, community, and civilization has a narrative regarding survival and reproductive success — including sacrifices for the reproductive success of a larger good — that may well hew to a fractal-like storyline.
As more complex assemblies encounter challenges and react by forming higher-level visions/opportunities, new strategies will emerge and new acceptance tests will apply.
In whatever forms this evolution may take — and based on the past they may well be dazzling — I think some kind of scale-insensitive, fractal-like narrative form will remain unchanged. And selfish genes, memes and lumines will likely continue throughout this evolution to drive us in more “altruistic” ways, so that they — and we as vessels for their reproducive success — can be fruitful and multiply.
I’ve posted further thoughts on the above at http://is.gd/wmsP . Any comments/thoughts on their relevance will be welcome.
Best,
Mark
Openworld
“Awakening assets for good”
@openworld (twitter)
[…] to think scale free and have fun by applying fractals in actuarial […]
[…] (may 2009) Popular popularity Software that maps dreams Origins and evolution of altruism Scale-free thinking Curve ball visual […]
Great Article.
It’s a paradox.
When we see two sides of the argument FULLY and EQUALLY we stand in our centre. (self interest and the greater good) I find it is then when we are at our true power. Our ‘centred’ most state.
I think when you join self interest and the ‘greater good of society’ together, you realise that WHO WE ARE, individually and as a group is actually the same thing. Once the realisation that WHO we REALLY are is the same as me and you, and I do believe that will grow, the ‘collective’ will start to take a bit more responsibility for itself as a whole, rather than leaving some countries starving and fighting etc….
I think at the end of the day, we’re MORE than a superorganism.
We’re Energy and I’m guessing Energy is VERY scale-free as well. We all have a presence and the ability to grow and I think we’re at a stage in evolution where we are about to snap into a very positive direction.
Thanks for the read, great blog.
Subscribed.